

CONTACT US
13917016818
hdfmz@126.com
021-31120495
021-31120496
上海市嘉定区南翔镇翔乐路南翔工业园区
孔板流量计是将标准孔板与多参数差压变送器(或差压变送器、温度变送器及压力变送器)配套组成的高量程比差压流量装置,可测量气体、蒸汽、液体及天然气的流量,广泛应用于石油、化工、冶金、电力、供热、供水等领域的过程控制和测量。
孔板流量计适用范围
1. 公称直径: 15 mm ≤DN≤1200mm
2. 公称压力:PN≤10MPa
3. 工作温度:-50℃≤t≤550℃
4. 量程比:1:10, 1:15
5. 精度:0.5级,1级
一.孔板流量计概述
节流装置又称为差压式流量计,是由一次检测件(节流件)和二次装置(差压变送器和流量显示仪)组成广泛应用于气体.蒸汽和液体的流量测量.具有结构简单,维修方便,性能稳定,使用可靠等特点.
孔板节流装置是标准节流件可不需标定直接依照国家标准生产,1.国家标准GB2624-81<流量测量节流装置的设计安装和使用>;2.国际标准ISO5167<国际标准组织规定的各种节流装置>3.化工部标准GJ516-87-HK06
三、孔板流量计工作原理
充满管道的流体流经管道内的节流装置,在节流件附近造成局部收缩,流速增加,在其上、下游两侧产生静压力差。
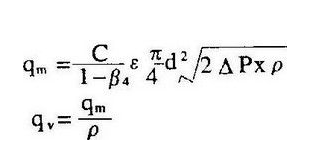
在已知有关参数的条件下,根据流动连续性原理和伯努利方程可以推导出差压与流量之间的关系而求得流量。其基本公式如下:

c-流出系数 无量纲
d-工作条件下节流件的节流孔或喉部直径
D-工作条件下上游管道内径
qm-质量流量 Kg/s
qv-体积流量 m³/s
ß-直径比d/D 无量纲
流体的密度Kg/m³
可膨胀性系数 无量纲

四、孔板流量计结构节流装置组成
节流件:标准孔板、标准喷嘴、长径喷嘴、1/4圆孔板、双重孔板、偏心孔板、圆缺孔板、锥形入口孔板等
取压装置:环室、取压法兰、夹持环、导压管等
连接法兰(国家标准、各种标准及其它设计部门的法兰) 、紧固件。